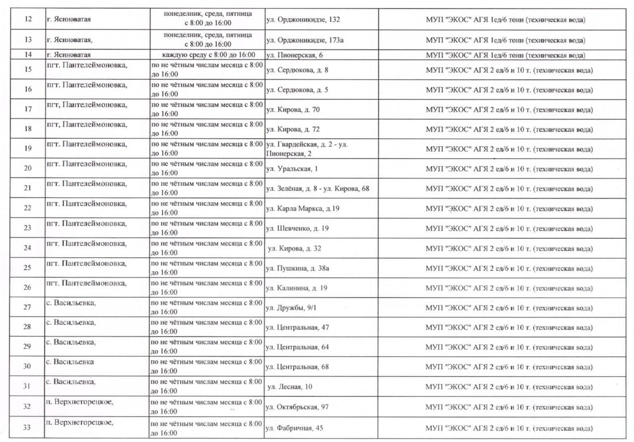
График подвоза технической воды по территории Ясиноватского муниципального округа на ноябрь 2025 года
График подвоза технической воды по территории Ясиноватского муниципального округа на ноябрь 2025 года
Подписывайтесь на наш Telegram-канал
Топ
Да, с десантом в Покровске вышла осечка.Пришлось выбрать более реалистичную цель. Ночной клуб в Одессе, танцующие и подпевающие русской песне люди вполне подошли. Даже не оказали никакого сопротивления, бери —...
В Днепропетровской области украинские боевики теряют контроль над ситуацией — на позициях началась паника. Об этом свидетельствует перехват переговоров, оказавшийся в распоряжении РИА Новости.На записи слышно, как командир ВСУ безуспешно...
Кто был на выставке, ставьте и делитесь своими видео и фото в комментариях.
В октябре ВС РФ освободили более 500 кв км территории - в ноябре цифра должна быть много больше.Скоро можно будет считать левобережье Оскола под Купянском и территорию Покровско-Мирноградской агломерации. Да и район Гуляйполя, думаю, не будет особо от...
На Харьковском:российские войска имеют тактические успехи в районе Синельниково и в Волчанске, продвинулись на левобережье Волчья.На Купянско-Лиманском:ВС РФ ведут штурмовые действия в направлении Фиголевки, расширили контроль территории в Купянске ...
Тяжелых грузовых дронов у нас нет.Их нет.Хотите оспорить? Давайте.Привозите свое издели в Донецк, обкатаем на ЛБС. Я куплю, если это работает и не одно изделие.Не подходят условия?Значит вы балаболы и торгуете хламом.
Под Красноармейском ВС РФ сорвали новую попытку высадки десантной группы украинской военной разведки (ГУР). Об этом проинформировал советник главы ДНР Игорь Кимаковский.Им там что, медом намазано?
Печальный финал «спецоперации» ГУР Украины с применением американского вертолёта «Black Hawk” ярко демонстрирует, что на самом деле происходит сейчас на Красноармейском направлении.Бойцы группировки «Центр» продвигаются как в черте города, так и...
Показан разгром боевиков ГУР Украины, десантировавшизся прямо под дроны ударные дроны бойцов группировки войск "Центр".Они еще добрались до зданий, а их уже накрыли наши операторы БПЛА, затем их продолжили добивать в городской застройке.В ходе...
Наши дроны-ждуны в Константиновке устроили «тёплый» приём «хероям» ВСУ, которые решили заехать в Донецкую область на бронеавтомобиле СБА «Новатор». После такого визита пришлось срочно организовывать...
На этот раз его сопровождает семья, так как боец на костылях. Вчера они добирались, а уже сегодня будут на месте.Особый трепет вызывают слова благодарности и фото в наши фирменных галстуках со значками КСВОВыздоровление – это всегда непростой путь, но...
Донецкое море Вместе с Сергеем Владиленовичем Кириенко и Денисом Пушилиным открыли мемориал на военном кладбище "Донецкое море". Это священное место для всех дончан. Здесь упокоены легендарные командиры и настоящие Герои: Александр Захарченко...
ВТОРОЙ УХИЛЯНТСКИЙ ФРОНТУкраинский журналист, общественный деятель, глава международного общественного движения «Внуки» Татьяна Поп @poptatianaРаскол между ещё недоловленными гражданскими и военными на Украине набирает обороты. То, что промежуточное...
Источник: Минздрав ДНР Мы в Telegram Мы в МАХПредложить новость
Столичный парк «Энергетиков».Строительная «музыка» здесь не смолкает с раннего утра и до позднего вечера: рабочие обустраивают детские и спортивные площадки, расставляют уличную мебель, укладывают плитку на дорожки и проводят...
У нас в Донецке есть памятник журналистам-фронтовикам Донбасса, воевавшим в годы Великой Отечественной войны. Он был установлен в 1990 году в честь тех, кто отважно выполнял свой профессиональный долг в годы войны.Наши активисты вместе с...
Депутаты Макеевского городского совета на встречах с жителями обсуждают ключевые проблемы. Основное внимание уделяется вопросам теплоснабжения, его качества и соответствия нормам. Для контроля за отопительным периодом созданы...
В рамках Всероссийской акции «Наша Россия» молодежь округа подготовила небольшой рассказ о природных достопримечательностях Волновахского муниципального округа.Великоанадольский лес – самый большой в мире лес, созданный руками человека. Все, что здесь...
В современной войне преодолеть килл-зону возможно только при скрытом от наблюдения дронов перемещении, пишет служащий в Нацгвардии Украины журналист. "Любые демонстративные действия враг замечает и тогда по бойцам и их укрытиям летит...










































