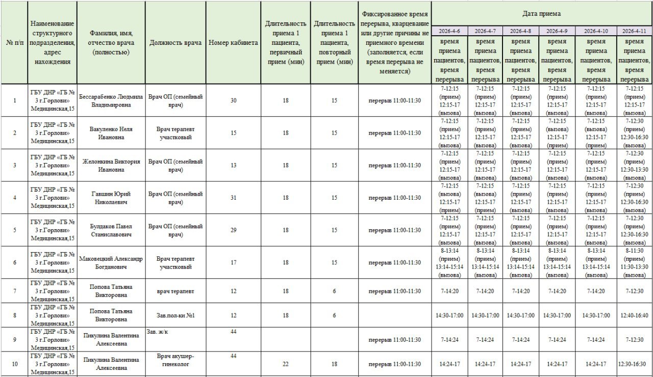
График работы специалистов ГБУ ДНР «Городская больница № 3 г. Горловки»
Иван Приходько: График работы специалистов ГБУ ДНР «Городская больница № 3 г. Горловки»
Подписывайтесь на наш паблик в ВКонтакте
Топ
Специалисты восстановили конструктивные элементы здания, фасад и кровлю, полностью заменили внутренние инженерные коммуникации — системы электро-, водо- и теплоснабжения.Кроме того, в подъездах строители выполнили чистовую отделку...
Фронтовая сводка по состоянию на утро понедельника, 6 апреля:Константиновское направление:Продвижение в Константиновке на обоих берегах Кривого Торца. Бои у металлургического завода и вокзала. Давление у...
Фронтовая сводка на утро 06.04.26Запорожский фронт На Каменском направлении идут позиционные бои в районе Степногорска и Новояковлевки. (Рис. 1.1)На Гуляйпольском направлении продолжаются бои на участке Верхняя Терса – Воздвижевка. Выше по...
Десятки не могут выбраться из шахты из-за аварийного отключения электричества после атаки ВСУ, рассказал глава республики Пасечник.С шахтерами установлена связь, у них есть запас питьевой воды.Предпринимаются меры по спасению...
На днях погиб Николай (Велес), он был большим патриотом России, отличным человеком и настоящим русским воином. С начала СВО он воевал в спецназе 2-й армии группировки войск "Центр" на самых горячих участках фронта от Черниговщины и Лимана до...
Кто чем занимается во время отключения света? Делитесь идеями досуга в комментариях Телеграм Блокнот Донецк Наш МАХ
Руководитель рабочей группы региона-шефа проверил ход работ.«Специалисты завершают заливку стяжки, прокладывают сети: ложный водопровод, отопление, электрику, монтируют профиль на стенах», — отметил Мурат Маиров.В 2026 году строители...
Противник понимает, что потеря плацдарма восточнее Славянска и Краматорска может привести к обрушению фронта на этом участке.Не секрет, что основным сражением этой весенне-летней кампании станет битва за освобождение Славянска и Краматорска. С...
Глава администрации Петропавловска-Камчатского Евгений Беляев признал свою вину в снежном коллапсе, сковавшем город, и добровольно покинул кабинет. Он заявил, что, несмотря на выделенную федеральную поддержку, власти не смогли оперативно ликвидировать...
Всё под рукой!С помощью чат-ботов в МАХ вы можете мгновенно записаться на приём к врачу, заказать лекарства, записаться в МФЦ и даже задать вопрос Главе ДНР Денису Пушилину!Вся информация о социальных гарантиях для жителей Республики — в...
Теперь у вас появилась уникальная возможность оформить «Цифровой ID» прямо в приложении!Что такое «Цифровой ID»?Это ваш виртуальный аналог бумажных документов, который позволяет легко и быстро подтверждать, что вы являетесь многодетным...
Расчёт самоходного миномёта «Нона-СВК» группировки войск «Центр» уничтожил опорный пункт ВСУ на Добропольском направленииПодробности боевой работы рассказал командир орудия Василий Свалов.Подписывайтесь на мой канал в MAX!
На днях в стенах филиала фонда «Защитники Отечества», произошло знаковое событие — заключено соглашение о сотрудничестве с региональным отделением Общероссийской общественной организацией «Ассоциация юристов России» в ДНР. Этот шаг знаменует собой...
6 апреля – поистине печальный день новейшей политической истории России. Четыре года назад из жизни ушел Основатель ЛДПР Владимир Вольфович Жириновский – искренний друг Донецкой Народной Республики, яркий и бесстрашный государственный деятель с острым...
Сводка СВО на 6 апреляНескольких десятков беспилотников атаковали Одессу. Точных данных о пораженном объекте пока нет, но речь может идти о территории, на которой складируют военные грузы, прибывающие в Одессу морским путем.В...
Они поделились впечатлениями о Донецке, рассказали о судьбе "фронтовых" кошек, секретах дрессировки и завоевания доверия у животных. А также пообещали снова приехать в Донбасс.Из интервью узнаете: Как кошки из зоны СВО вышли на сцену ДонбассаКакие...
#Сводка на утро 6 апреля 2026 года Юг России вчера весь день находился под затяжным налётом БПЛА противника. Наиболее серьезная ситуация в Новороссийске, известно о восьми пострадавших. Двое из них дети, проживающие в частном доме, а также...
В Крыму она представила свой проект «Любовь к Родине», посвященный особенностям Донбасса.#молодежьФото: тг-канал «Молодая Республика» Читать полностьюПодпишись на нас в MAX
График работы специалистов ГБУ ДНР «ГДСП г.Горловки», ГБУ ДНР «Городской наркологический диспансер г. Горловки», ГБУ ДНР «ГПБ г. Горловки», ГБУ ДНР «ГПТД г.Горловки», ГБУ ДНР «ГДВД г.Горловки», ГБУ ДНР «ГСП г.Горловки», ГБУ ДНР «ГОД г....










































