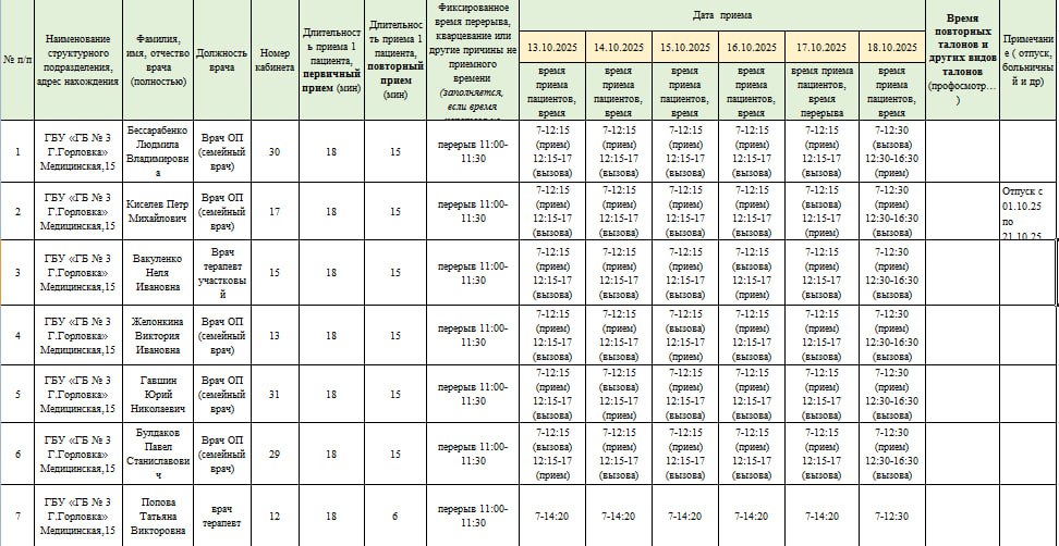
График работы специалистов ГБУ ДНР «Городская больница № 1 г. Горловки» и ГБУ ДНР «Городская больница № 3 г. Горловки»
Иван Приходько: График работы специалистов ГБУ ДНР «Городская больница № 1 г. Горловки» и ГБУ ДНР «Городская больница № 3 г. Горловки»
Подписывайтесь на наш Telegram-канал
Топ
Активисты «Единой России» и ОД «ДР» на Аллее Ангелов в Донецке почтили память студентов Старобельского профессионального колледжа.Рядом с портретами погибших зажгли лампады, к монументу возложили цветы и игрушки.Украинские беспилотники в ночь на...
Системность дает плодыПодразделения группировки войск «Юг» успешно продвигаются в границах Константиновки. Малые штурмовые группы постепенно зачищают опорные пункты в застройке города, расширяя безопасную зону для подразделений снабжения. Наибольшие...
Хохлы публикуют видео с дронов-камикадзе Hornet американского производства, которые атакуют участок дороги Волноваха - КПП Новоазовск-Весело-Вознесенка. Это уже старая граница России между ДНР и Ростовской областью.Сколько дней прошло с начала этой...
Очередной рабочий день провела в поездке по Старобешевскому округу. На встрече с активом обсудили приоритетные направления развития территории – будем работать над прозвучавшими предложениями. Прежде всего, жители заинтересованы в ремонте поселковых...
25 мая 2026 года активисты «Народного контроля» провели проверку магазина в Центрально-Городском районе Горловки. Целью рейда было оценить наличие разливной питьевой воды, соблюдение ценовой политики и соответствие торговых...
Активисты Единой России и ОД ДР во главе с единороссами Дмитрием Гарцевым и Анной Кондрыкинской провели траурную акцию в память о жертвах удара ВФУ по Старобельску. Участники мероприятия собрались на Аллее Ангелов, чтобы почтить память...
Итоги прямого эфира: об обновлении горэлектротранспортаВ ходе прошедшего в пятницу прямого эфира был затронут вопрос перспектив развития нашего городского наземного электрического транспорта. С таким вопросом обратились Егор Романович из Донецка и...
25.05.2026 среди работников «Донбасстеплоэнерго». В нем приняли участие сотрудники из 11 филиалов Донецкой Народной Республики.Репортаж Александры Цукур.МАКС | Telegram | Рутуб | ВК | OK |...
Горловка продолжает подвергаться массированным ударам со стороны киевских нацистов. Накануне вечером в эпицентре очередной атаки вновь оказался Никитовский район.Многочисленные разрушения и повреждения жилых домов частного сектора зафиксированы на...
От подписчика из очень далёкого "Замкадья" – удивительной территории, к которой относится и Донецкая Народная Республика Российской Федерации. Адресовано оно, похоже, радостным оптимистам – жителям планеты розовых пони. Глас из Донецка. Может, услышит...
На презентации книги "Русское безграничье" на Книжном салоне в Петербурге помимо прочего рассказывал о том, как выбирались с коллегами из опасной ситуации в районе Угледара. Спустя время все подобные истории (вообще не смешные в моменте - мины, дроны...
Фрагмент выступления митрополита Донецкого и Мариупольского Владимира на пленарном заседании «Донбасс – оплот гражданского единства» о феномене русского народа. Смотрите видео, чтобы услышать целикомВсероссийская стратегическая сессия «Реализация...
Улучшение качества жизни, повышение эффективности государственного управления, усиление координации проектов, находящихся в зоне ответственности: поставил задачи перед новым Руководителем Администрации Главы и Правительства ДНР Александром...
За минувшую неделю сотрудники муниципального учреждения «Мариупольгорсвет» с привлечением 8 единиц спецтехники смонтировали и отремонтировали 4200 метров кабеля, установили 142 энергосберегающих светильника и демонтировали 435 метров...
Все участники – действующие военнослужащие, которые совмещают выполнение боевых задач с интенсивными тренировками. Их уровень подготовки и боевой дух вызывают искреннее уважение!Лучшие бойцы теперь получат право представить нашу Республику...
Краматорск, как элемент "фортификационной стены" по линии Константиновка/Дружковка/Краматорск/Славянск, для противника крайне важен. Именно здесь случится главное сражение в ходе освобождения всей территории ДНР. Над разбором укрепрайона ВСУ ежедневно...
Вниманию горловчан: график подачи воды на май 2026 года в ряд населенных пунктов ГорловкиОбращаем ваше внимание, что время появления воды в населенных пунктах, указанных в таблице, зависит от удаленности их расположения от фильтровальной станции и...
Семейная выплата — это ежегодная поддержка семей с детьми, когда государство возвращает часть НДФЛ. Размер выплаты зависит от годового дохода членов семьи, количества детей, среднего дохода на члена семьи и регионального прожиточного минимума....
Именно жители выбирают, какие общественные пространства преобразятся уже в 2027 году.Принять участие могут все граждане старше 14 лет. Проголосовать можно на сайте, через приложение «Госуслуги.Решаем вместе» или с помощью...













































