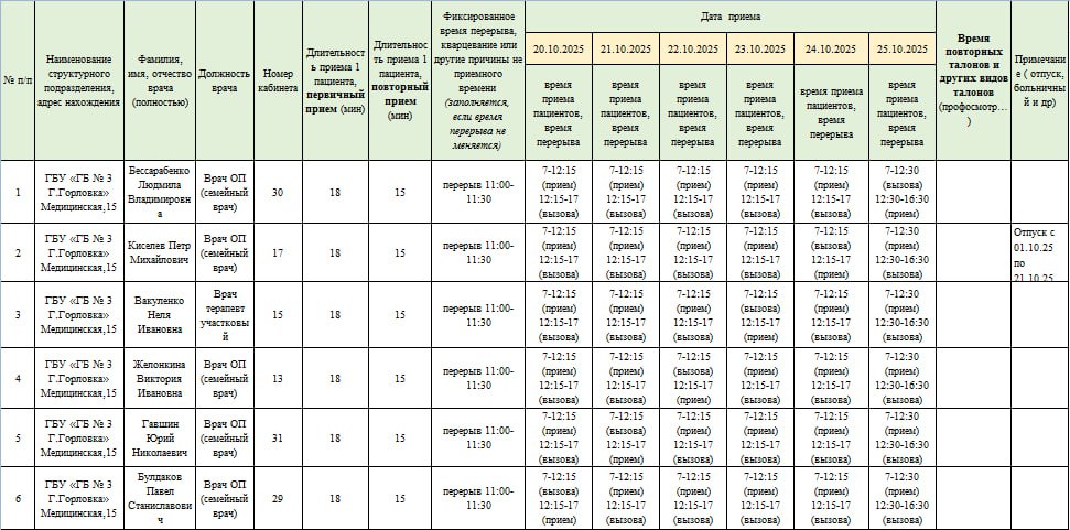
График работы специалистов ГБУ ДНР «Городская больница № 1 г. Горловки» и ГБУ ДНР «Городская больница № 3 г. Горловки»
Иван Приходько: График работы специалистов ГБУ ДНР «Городская больница № 1 г. Горловки» и ГБУ ДНР «Городская больница № 3 г. Горловки»
Подписывайтесь на наш Telegram-канал
Топ
Царствие небесное невинно убиенным ученикамПодписаться
Проблемы с логистикой Глубже чем кажутсяВ южных регионах России обстановка складывается всё более угрожающим образом. Украинские формирования с начала мая значительно нарастили число ударов дронами по транспортным...
Республика находится под массированной атакой БПЛА ВСУ!Будьте осторожны!Подписаться
Активисты «Единой России» и ОД «ДР» на Аллее Ангелов в Донецке почтили память студентов Старобельского профессионального колледжа.Рядом с портретами погибших зажгли лампады, к монументу возложили цветы и игрушки.Украинские беспилотники в ночь на...
Боевики СБУ сообщили, что в Красном Лимане местная жительница укрыла у себя в доме русского воина с позывным "Шаман". Кроме этого, она корректировала удары по украинским боевикам, располагавшимся в населенном пункте.К сожалению, сообщается, что боец...
Семь человек, в том числе двое детей, погибли, еще 15 человек, из них четыре ребенка, пострадали сегодня из-за киевской агрессии.В Калининском районе Горловки в результате атаки ударного БПЛА ВФУ на легковой автомобиль «Нива» погибла...
Хохлы публикуют видео с дронов-камикадзе Hornet американского производства, которые атакуют участок дороги Волноваха - КПП Новоазовск-Весело-Вознесенка. Это уже старая граница России между ДНР и Ростовской областью.Сколько дней прошло с начала этой...
за 25 мая 2026 годаРоссийские войска в течение суток нанесли серию ударов по объектам в прифронтовых регионах т.н. Украины. Также беспилотники поразили электрическую подстанцию в Ромнах Сумской области и парусный фрегат у побережья Одессы. Параллельно...
Также после атак врага часть населенных пунктов ДНР осталась без электроснабжения.В Горловке в результате атаки ударного БПЛА ВСУ на легковой автомобиль «Нива» погибла семья: девочка 2012 г.р., мальчик 2013 г.р., женщина 1986 г.р., мужчина...
Пикник, мастер-класс, дружеское общение или совместная зарядка. Все это форматы акции Комитета семей воинов Отечества, стартовавшей в партнерстве с Ассоциацией ветеранов СВО «День с героем».Проект, приуроченный к Международному дню защиты детей...
25 мая 2026 года активисты «Народного контроля» провели проверку магазина в Центрально-Городском районе Горловки. Целью рейда было оценить наличие разливной питьевой воды, соблюдение ценовой политики и соответствие торговых...
Стало известно, что основной удар пришёлся по Горловке.По данным властей, ВСУ атаковали Калининский район города с применением БПЛА. В результате погибли четверо мирных жителей, среди них двое детей 2012 и 2013 годов рождения.Также...
Главное за деньМинистр обороны Российской Федерации Андрей Белоусов провел совещание на одном из пунктов управления группировки войск «Восток», где заслушал доклады командования и офицеров штаба о выполнении...
Сумское направление. Глуховский участокНесмотря на упорные контратаки противника в направлении н.п. Сопычь, подразделения ГрВ "Север" продвинулись западнее и вдоль трассы на Глухов, завязав бои на окраине н.п. Бачевск.Южнее ВС РФ атакуют Уланово...
СВО. Мы воюем с противником в паритетных условиях.МИД России заявил о готовности к ударам в ответ на теракты. Сегодня, по заявлению Дениса Пушилина, в ДНР опять погибли дети.Теракт или не теракт?Настаиваю: военные объекты врага - совершенно точно наши...
Посмотрите в глаза детишекИ услышьте живые рассказы.Это не с экрана и книжек,Такое не придумаешь сразу.Посмотрите на камни эти, —Все, что в них от жилья осталось.Да ведь здесь просто жили дети,В мир достойно войти старались.Что теперь сообщат по...
Об этом Daily Storm сообщила жена бывшего министра обороны ДНР Мирослава Регинская.«У него стенокардия. Как только выйдет на свободу — будем сразу госпитализировать. По-хорошему, надо делать операцию. С такой заразой, как стенокардия, не шутят. В ИК...
В Калининградской области была впервые объявлена беспилотная опасность, временно действовалиСотрудница магазина на Ставрополье убила подброшенных к торговой точке бездомных котят на глазах у школьников.В результате атак ВСУ на ДНР за день погибли семь...
Ряд городов ДНР обесточенРеспублика находится под массированной атакой БПЛА ВСУ!Будьте осторожны! ПОДПИСАТЬСЯ МЫ В MAКС Чат Бот Дзен#террор













































